
In order to watch this solution you need to have a subscription.
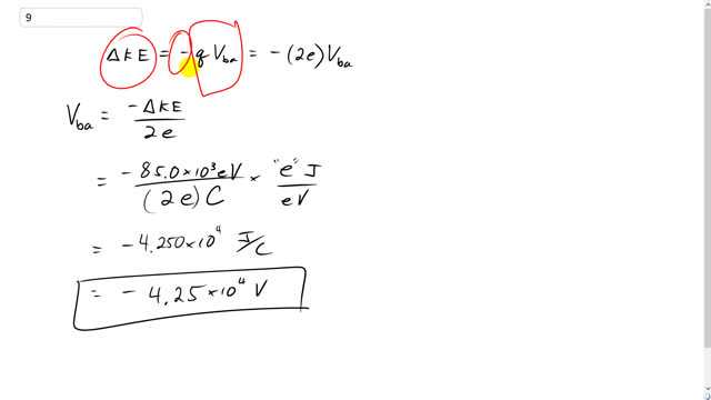
This is Giancoli Answers with Mr. Dychko. Whatever gain in kinetic energy this Helium nucleus will have comes at the expense of a loss in potential energy. The loss is why we have a negative sign there and the change in potential energy is the charge times the potential difference V ba. The charge for Helium nucleus is two times e. Two times the elementary charge. And we'll solve this for V ba by dividing both sides by two e negative. And we'll divide this by negative two e. We get V ba is negative change in kinetic energy divided by two times the elementary charge. So that's 85 times 10 to the three electron volts divided by two times e Coulombs. But we're gonna multiply by this conversion factor between Joules and electron volts because this thing has to be in Joules. So I'll multiply it by e Joules for every electron volt. e is 1.602. Instead of writing 1.602 here and then writing it again here, I'm just writing the letter e because that represents that number. So the es cancel here. We end up with 4.25 times 10 to the four volts negative is the potential difference needed in order to accelerate this Helium nucleus. We expected a negative voltage because when you're talking about a positive charge increasing its kinetic energy, it must be going from a place of high potential to a place of low potential in order to-- To increase its kinetic energy, it's gonna have to lose some potential energy. That happens when a positive charge goes from a high potential plate to a low potential plate. So its final potential is less than its initial potential, and so we expected a negative sign there.
