
In order to watch this solution you need to have a subscription.
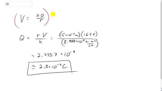
This is Giancoli Answers with Mr. Dychko. This is the formula for the potential at a certain point r away from a charge Q and we can solve this for Q by multiplying both sides by r, dividing both sides by k and then switch the sides around and we get Q is r V over k so the distance is 15 centimeters, which is 15 times ten to the minus two meters and the voltage is positive 165 volts divided by coulomb’s constant 8.988 times ten to the nine newtons meter squared per coulomb squared and we get positive 2.8 times ten to the negative nine coulombs is the charge.
