
In order to watch this solution you need to have a subscription.
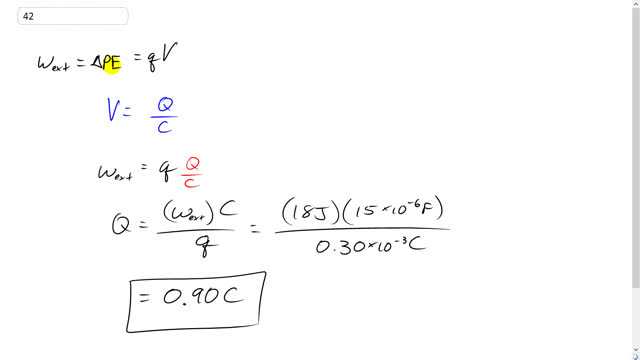
This is Giancoli Answers with Mr. Dychko. The work done by some external force is going to equal the change in potential energy of these charges that were moved with 0.3 milli coulombs and the change in potential energy is going to be the charge times the potential per charge. That's what voltage is its joules per coulomb and the voltage for a capacitor is the charge on each plate divided by its capacitance. So we take this external work done and make it equal to q times V but V is now replaced with Q over C and then solve for Q and we'll do that by multiplying both sides by C and dividing by little q. And so this Q is the charge on each plate and this q is the charge that's moved from one plate to another. In the assumption is that this is so much smaller the little q so much smaller than the big Q because we wouldn't want to be changing the voltage as a result of moving this charge from one plate to the other so because I would make this more complicated so the assumption is that q just a tiny bit of charge such that nothing else really changes in any significant way. So the voltage isn't significantly changing. So Q is going to be external work times capacitance divided by the charge moved. So it's 18 joules times 15 times ten to the minus six farads divided by 0.3 times ten to the minus three coulombs and you get 0.9 coulombs must be the charge on each plate.
