
In order to watch this solution you need to have a subscription.
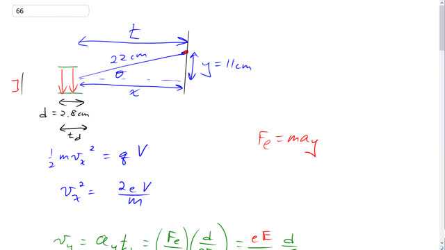
This is Giancoli Answers with Mr. Dychko. So electrons are initially accelerated over here. There's some heated cathode and then there's some grid in between that cathode and the anode here. And the grid is what controls how bright this cathode ray or beam of electrons will be. There's a little hole in the anode so that when the electron gets emitted by thermionic emission just because it's been heated, it shoots out electrons when it's in a vacuum. These electrons will pass through the grid. It's like the gate that determines whether or not it gets through. Electrons are constantly being emitted by this thing, and whether or not it gets through is controlled by the signal, it goes through this grid. Then supposing it does get through, then it will get attracted towards this anode here and go through its hole and then continue on. Then it'll continue on between these vertical deflecting plates and it'll be in the presence of an electric field when it's traveling from here to here. That's going to result in it being deflected upwards. The electric field is pointing downwards which is the direction of force on a positive charge, but since this is a negative electron, its force will be upwards. Now, I'm making an approximation here that it doesn't have any significant deflection while it's between these two plates. So, of course, it will be deflected upwards because it's accelerating upwards, but we will assume that it's negligible in comparison to this distance here. This distance x, we don't know, to the screen. The distance 22 centimeters from this point to this point here, and it's hitting at 11 centimeters above the center line we're told. We're told these deflecting plates are 2.8 centimeters long here. It takes some time, t d for deflection to go between these plates. Well, our job is to figure out the strength of the electric field here between the plates. First, we're going to talk about energy. We know that kinetic energy that the electron will have after it's done accelerating here is going to equal the charge of the electron times the potential difference through which it accelerates. This will give us the speed. Its speed will relate to the amount of time that it spends between these deflecting plates. We have a sense of how much it's accelerated between these plates because we know how high it deflects. We know how long it'll take to get from here to here because we know its horizontal speed based on this. Kinetic energy gained is equal to the potential energy lost. We'll rearrange this to solve for Vx squared. Times by two over m both sides. So Vx squared is two times the charge of the electron times the potential divided by electron mass. The y-velocity that the electron will have after it passes through the deflecting plates will be its y-acceleration multiplied by the time that it spends between the deflecting plates. Now, the y-acceleration, we can get from this formula which says that the net force equals mass times acceleration. We'll ignore gravity because gravity downwards of the electron is gonna be so small in comparison to the electrostatic force. We can say that the y-component of acceleration is the electrostatic force divided by the mass of the electron. We substitute that there. The time that it spends between these deflecting plates is the distance divided by the x-component of the velocity. That's all we can say there. I've substituted e, the charge, times the electric field strength here for the force of an electron. Finally, we're seeing this electric field strength thing turn up. Ultimately, this is what we want to find. We know we're on the right track now because we have an expression containing this capital E. The vertical deflection is Vy multiplied by whatever time it takes to go from here to here, t. We know the horizontal distance between the screen and the end of the deflection plates is the horizontal piece multiplied by time. We can take the ratio of speeds Vy divided by Vx. That's gonna be y divided by x for me. Take this two equation then divide each side. We divide the right side, and you get Vyt over Vxt and the t's cancel. Then you divide the left side to get y over x. Then we can substitute for Vy and Vx here. Now we're gonna be tying this capital E into an expression involving the y and the x which we know. We can find x using Pythagoras because we know the hypotenuse and this vertical leg r of the triangle. Substituting for Vy, that's gonna be little e times capital E over m, times d over Vx. Then divide by Vx which is the same as multiplying by its reciprocals. You multiply that one over Vx, and that equals one over x. This makes one over Vx squared. And Vx squared, we figured out over here, so one over Vx squared is the reciprocal of Vx squared which means we'll flip this and sort of multiply it by m over 2ev, and then multiplying through by d, little E, big E, over m, and then this small es cancel, and the ms cancel, and we're left with electric field times d over two times V equals y over x. And d is the length of the deflecting points here. Solve for E. Multiply both sides of this by two times voltage divided by length of the deflecting plates, and you get 2y times voltage divided by xtimes d. So y over x is the tangent of this angle here, this angle theta. The vertical displacement, y, divided by horizontal displacement, x is the opposite divided by adjacent. That's tan theta. Let's figure out what theta is by going inverse sine because we know the opposite, we know the hypotenuse. Inverse sine of 11 over 22 is the inverse sign of 0.5 which is 30 degrees. We should be thinking about this special triangle here one, two, root three, 30 degrees, 60 degrees, and 90. So theta is 30, and y over x is tangent of 30, and tan 30 is going to be one over root three. That's what I've written here. That gets multiplied by two times the accelerating voltage of nine kilovolts, 9.0 times 10 to 3 volts, divided by 2.8 centimeters or times 10 to minus three meters. Then we get electric field strength of 3.7 times 10 to the 5 volts per meter. It's always prudent to test your assumptions if you're not quite sure. We're testing the assumption that the vertical displacement between the deflecting plates is negligible. Then let's calculate what that vertical displacement would be assuming that this is the electric field strength. Vertical displacement would be one-half times the acceleration times time squared. The acceleration is the electrostatic force that charge times electric field strength divided by mass. That's net force over m to get the acceleration. The time is the distance divided by the horizontal speed, Vx, and we're squaring that. This is like multiplying by one over Vx squared which is m over two eV. The reciprocal of Vx squared is m over two eV. Then the m's cancel and the e's cancel. And we have the electric field strength times the length of the plates squared, over four times voltage. Of course, using the assuptions is what resulted in this electric field calculation, and now we're testing whether the assumption is true using something that used this assumption, but whatever, we're just trying to make approximation here. We have 3.7 times 10 to the five Newtons per Coulomb, electric field strength, times 2.8 times 10 to the minus two meters squared, over four times 9 kilovolts, and we get 0.0081 meters which is about 0.8 centimeters. he vertical displacement between the plates is about 0.8 centimeters out of a total 11 centimeters vertical displacement. That's only about seven percent. It's somewhat borderline between significant or not. But seven percent is still pretty small, so it's good enough. The calculation could be way harder if you were to say let's consider the vertical displacement between the plates too. There.
