
In order to watch this solution you need to have a subscription.
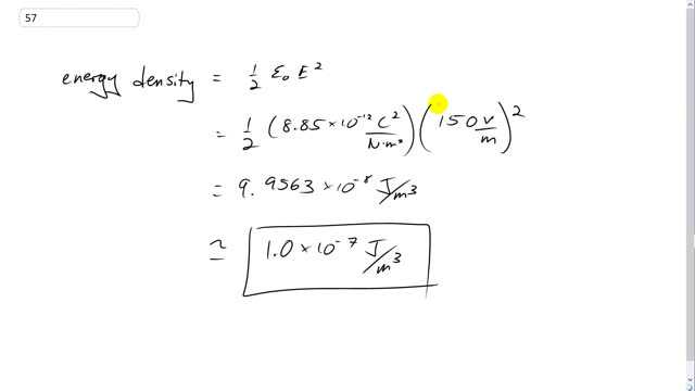
This is Giancoli Answers with Mr. Dychko. Energy density is one half times permittivity of free space times the electric field strength squared that's one half times 8.85 times ten to the minus 12 coulombs squared per newton meter squared times this electric field of 150 volts per meter squared. And this gives an energy density of about 1.0 times ten to the minus seven joules per cubic meter. These exponents are different here because the way things rounded there should be about two significant figures because this number has two significant figures. So 9.95 when you round this number, it makes this number turn into a ten. So ten times ten to the minus eight is our answer. With the zero being significant. And so this is written in scientific notation becomes 1.0 times ten to the minus seven because you know you have to… we will multiply this number by… we'll divide this number by ten to make it 1.0 in which case we have to multiply this by ten so ten to the minus eight times ten to the minus seven.
