
In order to watch this solution you need to have a subscription.
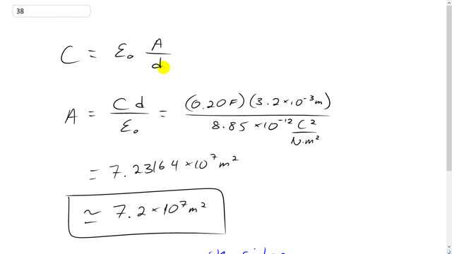
This is Giancoli Answers with Mr. Dychko. The capacitance for a parallel plate capacitor with air dielectric is permittivity of free space times the area of each plate divided by the distance between them. Now we can solve for the area that would be needed here by multiplying both sides by d over Epsilon naught and that gives area is capacitance times separation divided by permittivity of free space. So that's 0.2 farads capacitance that we want times 3.2 times ten to the minus three meters separating the plates divided by 8.85 times ten to the minus 12 coulomb squared per Newton meter squared that gives 7.2 times ten to the seven square meters and that is really big if you think of this as a square taking the square root of this number gives about 8,500. So eight and a half kilometers long on each side of the square to have this capacitance of 0.2 farads and so this gives you a sense of why you always see microfarads or Pico farads as your ratings for capacitors. 0.2 Farads is actually a really really big number in the world of farads.
Where did 8.85X10^-12 come from?
Hi joel.concepcion, that's the permittivity of free space: https://en.wikipedia.org/wiki/Vacuum_permittivity.
