
In order to watch this solution you need to have a subscription.
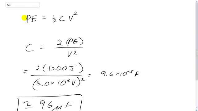
This is Giancoli Answers with Mr. Dychko. The potential energy stored in the capacitor on this defibrillator is one half times its capacitance times the voltage across it, squared. And then we can solve for C by multiplying both sides by two over V squared. And then switching the sides around as well. So on the left we're going to end up with C equals two times potential energy divided by voltage squared so two times 1200 joules divided by 5.0 times ten to the three volts squared which gives about 96 micro farads.
