
In order to watch this solution you need to have a subscription.
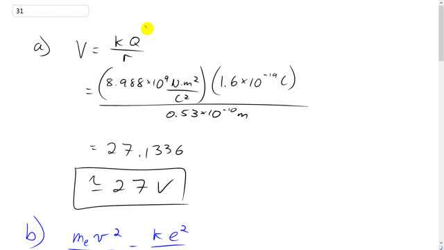
This is Giancoli Answers with Mr. Dychko. The electric potential at the location of the electron due to the nucleus of the hydrogen atom is gonna be k Q, where Q Is the charge of the nucleus divided by the radius of the hydrogen atom according to the Bohr's model, it’s the Bohr radius there. So if coulomb’s constant 8.988 times ten to the nine newton meter squared per coulomb squared times 1.6 times ten to the minus 19 coulombs divided by 0.53 times ten to the minus ten meters which gives 27 volts. And then part B is what is the kinetic energy of the electron? So we assume that the centripetal force, m v square over r is equal to the electrostatic force in which case we can solve for m v squared by multiplying both sides by r and this is helpful here because m v squared is almost kinetic energy, we just have to multiply it by a half, in which case we multiply the right hand side by half as well. So kinetic energy is one half m v squared and so that's going to equal one half times k e squared over r and so that's one half times 8.988 times ten to the nine newtons meters squared per coulomb squared times 1.6 times ten to the minus 19 columns squared divided by 0.53 times ten to the minus ten meters which gives 2.2 times ten to the minus 18 joules or converting it into electron volts by multiplying by one electron volt for every 1.6 times ten to the minus 19 joules gives us 14 electron volts. The total energy is the kinetic plus the potential so that's 13.5668 electron volts plus the charge of the electron multiplied by the potential due to the proton. So that's negative e times 27.1336 volts which will give us negative 27.1336 electron volts and this makes negative 14 electron volts or if you can convert it into joules, it's negative 2.2 times ten to the minus 18 joules. The work needed to move this electron from its location in the orbit to infinity at which point it has energy of zero assuming that its kinetic energy is also zero there this is also known as the ionization energy the minimum amount of energy needed to strip the atom of its electron. That's gonna be equal to the change in kinetic plus the change in potential and this is the work done by a non-conservative force, there's no potential energy associated with whatever this forces is doing, this stripping of the electron. And so it's going to be a final kinetic energy of zero minus its initial kinetic energy of positive 13.57 electron volts plus a final potential of zero because potential energy is zero at infinity minus the initial negative 27.13 electron volts which gives us positive 14 electron volts or 2.2 times ten to the minus 18 joules of energy needed which is the opposite of the total energy that it had to begin with and so that kind of symmetry makes sense.
