
In order to watch this solution you need to have a subscription.
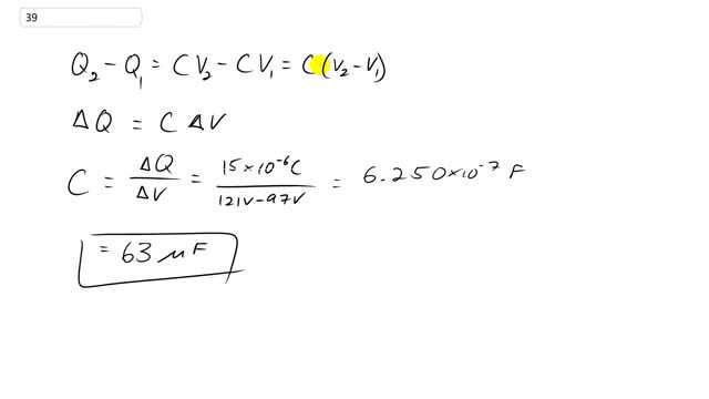
This is Giancoli Answers with Mr. Dychko. The change in the amount of charge on the capacitor is equal to capacitance times V Two minus capacitance times V One and if we factor out the C, we see that the change in capacitance or change in charge, I should say, Q two minus Q one equals capacitance times the change in voltage. And so we can divide both sides by Delta V and we get capacitance is Delta Q over Delta V. So that's 15 times ten to the minus six coulombs divided by a 121 volts minus 97 volts which gives about 63 microfarads.
i think this should be .63 microfarads
Thanks sanghoonwilliamk, you're totally right. is correct. While the working is correct in the video, I made a careless error turning the scientific notation into a decimal, and I put a note about this in the quick answer.
Thanks for the sharp eye!
Mr. Dychko
Okay gotcha~ thanks for the clarification.
