
In order to watch this solution you need to have a subscription.
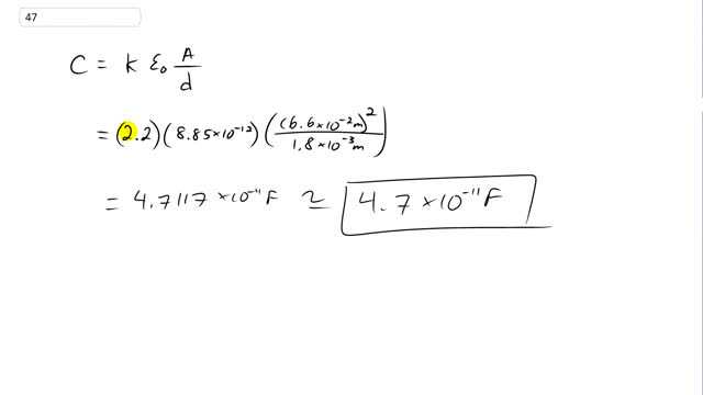
This is Giancoli Answers with Mr. Dychko. Capacitance equals the dielectric constant times the permittivity of free space times the area of the plates divided by separation. So the dielectic constant for paraffin is 2.2 multiplied by 8.85 times ten to the minus 12 for the permittivity of free space times 6.6 times ten to the minus two meters and then square that and divide by the separation between the plates of 1.8 times ten to the minus three meters. This gives 4.7 times ten to the minus 11 farads for the capacitance.
