
In order to watch this solution you need to have a subscription.
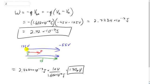
This is Giancoli Answers with Mr. Dychko. In moving a proton from a position of high potential to position of low potential, we expect the electric field to be doing a positive amount of work because the electric field lines always point from high to low potential. So from 125 volts to the negative 55 volts and electric field points in the direction of force on a positive charge and so the force is also in the same direction and the displacement is in that same direction we're told because it goes from the 125 volts to the negative 55 volts and so we expect the work done by the field to be positive because force and displacement are in the same direction and the force exerted by the field. So when we plug into this work equals negative charge times potential difference between the final position be in initial position a. We expect our answer to be positive as it is here and so it’s the negative Q times final minus initial potential and so that negative of positive 1.602 times ten to the negative 19 coulombs times the final potential of negative 45 volts not 55 and final position potential of negative 45 volts minus initial potential of a 125 volts and this gives 2.72 times ten to the minus 17 joules of work done by the field and multiply that by one electron volt for every 1.602 times ten to the minus 19 joules and you get 170 electron volts which is just this difference here.
in the answer box, don't you mean 2.72 X 10^-17 J?
The answer in the quick box is missing the negative in the scientific notation.
