
In order to watch this solution you need to have a subscription.
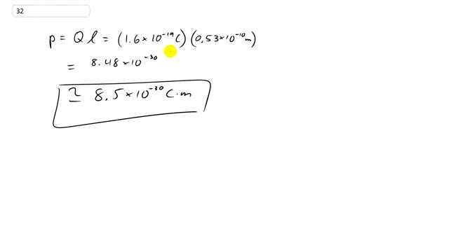
This is Giancoli Answers with Mr. Dychko. Dipole moment is the charge on each end of the dipole times the distance separating the two charges. So that's 1.6 times ten to the minus 19 coulombs in this case because as its electron at one end and a proton at the other. This is their charge and times 0.53 times ten to the minus ten meters separating them which is 8.5 times ten ten to the minus 30 coulomb meters for the dipole moment.
