
In order to watch this solution you need to have a subscription.
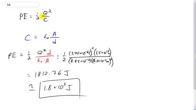
This is Giancoli Answers with Mr. Dychko. When the question asks what's the energy stored in the electric field? That's the same as saying what's the potential energy on the capacitor. So that's one half times the charge on it squared divided by its capacitance and because it's a parallel plate capacitor the capacitance is the permittivity of free space times the area of each plate divided by separation. So since we're dividing by C in this formula for energy we're going to multiply by the reciprocal of this so we're multiplying by d over Epsilon naught A. So, potential energy is one half times the charge, 370 times ten to the minus six coulombs squared times 1.5 times ten to the minus three meters separation between the plates divided by 8.85 times ten to the minus 12 permittivity of free space times 8.0 times ten to the minus two meters squared. It's a square plate and that's 8.0 centimeters per side. Multiply eight by eight to get the area and we're left with 1.8 times ten to the three joules is the energy stored in the capacitor.
this is not the answer my homework is giving me...the answer they want is x*10^-6 J
Hi kniffin.1, thanks for the comment. If you have a specific question, please let me know. I haven't noticed any error in the solution here.
All the best,
Mr. Dychko
