
In order to watch this solution you need to have a subscription.
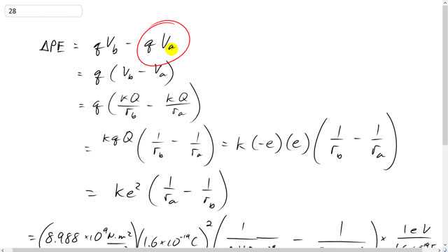
This is Giancoli Answers with Mr. Dychko. The change in potential energy is the potential energy in their final configuration when they're separated by 0.1 nanometres minus the potential energy in their initial configuration when they're separated by only 0.11 nanometres. So we can factor out the q and take your pick, whichever charge you like. Let’s consider q to be the electron. So, we factor out the electron and then we'll multiply that by the potential difference due to the proton. And so we have k times the proton Q over the distance r b minus k Q over r a and the kQ can be factored out, and so we have kq Q times one over r b minus one over r a and the charge of electron is negative e, the charge on the proton is positive e and we can multiply this negative into the bracket there and that switches the order of these terms around so it makes the one over r a term positive and it makes the one over r b term negative. So we have k e squared times one over r a minus one over r b. So, r a is the initial separation and r b is the final separation. So we have coulomb’s constant 8.988 times ten to the nine newtons meter squared per coulomb squared times the elementary charge of 1.6 times ten to the minus 19 coulombs squared times one over 0.110 times ten to the minus nine meters, this ten to the minus nine is what you put in place of the prefix nano, and then minus one over 0.100 times ten to the nine… minus meters and then multiply by one electron volt for every 1.6 times ten to the minus 19 joules since this work here will give us an answer in joules and we want our answer to be converted into electron volts and we get negative 1.3073 electron volts so the negative mean that some potential energy was lost and so it's probably an exo-thermic reaction where some of the energy got turned into heat maybe and so 1.3 electron volts was lost.
