
In order to watch this solution you need to have a subscription.
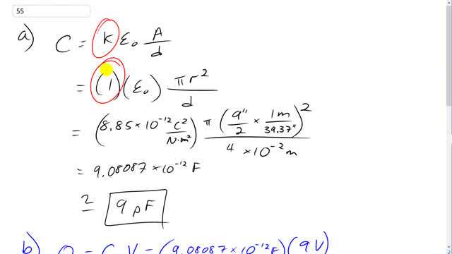
This is Giancoli Answers with Mr. Dychko. These two pie plates make a parallel plate capacitor and the capacitance is the dielectric constant of the material between the plates which is just air. So the dielectric constant is one multiplied by the permittivity of free space times the area of each plate divided by the separation between them d. The area of a circular pie plate is gonna be pi times its radius squared and we have 8.85 times ten to the minus 12 coulombs square per Newton meter squared for permittivity of free space times pi times nine inches diameter divided by two to get the radius and then converting it into meters by multiplying by one meter for every 39.37 inches and then square that result and divide by four centimeters between the plates which is four times ten to the minus two meters and you get nine picofarads. The charge in each plate is the capacitance times the voltage so that's the answer from part A, 9.08087 times ten to the minus 12 farads times nine volts which is eight times ten to the minus 11 coulombs. The electric field is the voltage between the plates divided by the separation between them. So that's nine volts divided by four centimeters which is four times ten to the minus two meters and that gives about 200 volts per meter, electric field strength and the energy stored in the electric field between these plates is one half times the charge in each plates times the voltage so that's one half times 8.17278 times ten to the minus 12 or ten to minus 11 coulombs, our answer for Part B, times nine volts which is about four times ten to the minus ten joules if you put a dielectric between the plates and you increase the dielectric constant then obviously you'd be increasing the capacitance You’d be changing the capacitance because this value k would change and because the capacitance changes you'd be changing the amount of charge on each plate, you'd have an increased amount of charge because you been increasing the capacitance by putting a dielectric material between the plates and the electric field would not change because it depends only on the voltage which is provided by the battery and the separation between the plates and so it does not depend on the material between the plates, electric fields strength would not change. Potential energy would change because since the capacitance change that means the amount of charge changes and so yes potential energy would increase as a result of the dielectric.
your answer for b is incorrect it should be 8x10*-11
Thank you very much @holland016, I've updated the quick answer.
