
In order to watch this solution you need to have a subscription.
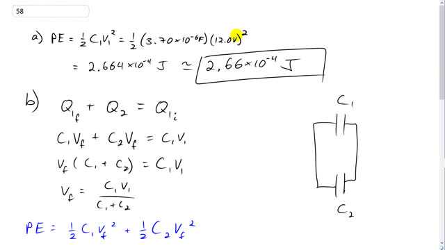
This is Giancoli Answers with Mr. Dychko. The initial amount of potential energy stored in capacitor one when it's hooked up to the battery is one half times its capacitance of 3.70 times ten to the minus six farads times 12 volts of the battery squared. And that gives about 2.66 times ten to the minus four joules. Now in part B, we have this scenario where a capacitor one which was initially charged by the 12 volts battery is then connected to an initially uncharged capacitor C two and the total amount of charge distributed between C one and C two after they are connected is going to equal the charge that C one had to begin with before it was connected. Because there's no charge being neutralized in this connection to C two, there's just a movement of charge from C one to C two but their total is the same in both cases. So now we're substituting for the charge one final, that's gonna be C one times the final voltage and charge capacity two is going to be capacitance two times the final voltage and that's going to equal the capacitance one times the voltage that it had in the battery V one. So we can see that the voltages across the capacitor one and capacitor two are equal here and that's because these two plates are connected by a conductor so that there can't be any voltage difference between these two plates because if there was that that would result in electric field which would move charges and when the very instant when these plates are connected the charges do move and there is a voltage but the quickly those charges distribute such that there is no electric field anymore and thus no voltage. Also there's no voltage between these two plates either so that means the voltage difference between these two plates is the same as between these two plates. We could also talk about Kirchhoff loop rules and so on too. But we haven't really got there yet. So maybe that's the way of explaining that these two voltages are the same. They both have a voltage of V f. So we can factor out this V f and multiply by C one plus C two and that equals C one V one and then divide both sides by this bracket to get the final voltages C one V one over the sum of the capacitances and the reason that's useful is because we're going to plug that voltage in for V f squared in our potential energy formula. So our potential energy is going to be one half times C one times V f squared plus one half C two times V f squared. So, that’s gonna be energy stored on each capacitor and we can factor out the V f squared and then there's a substitution here. I guess I usually do my substitutions in red. Don’t I? So let's go. C one V one over C one plus C two. And this is squared so there are two C one plus C two in the bottom here, one of them cancels with this C one plus C two leaving us with C one squared V one squared on top divided by two times C one plus C two to the power of one. That's 3.7 times ten to the minus six farads squared times 12 volts squared divided by two times 3.70 times ten to the minus six farads plus five times ten to the minus six farads which gives one point one three times ten to the minus four joules as the potential energy in the system after their two capacitors are connected. The change in potential energy's this final potential energy when they're connected minus the initial potential energy that C one had when it was charged by the battery and this makes a negative 1.53 times ten to the minus four joules. So this much energy was lost as a result of connecting the capacitor one to the capacitor two.


