
In order to watch this solution you need to have a subscription.
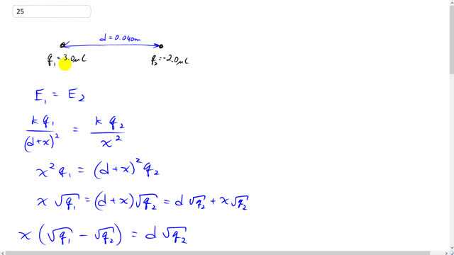
This is Giancoli Answers with Mr. Dychko. We have a charge q2 with a charge of negative two point o microcoulombs, on the right hand side here, and there's a charge q1 with positive three point o microcoulombs on the left side here, and the two charges are separated by four centimeters, which is .040 meters. And the first job is to figure out where is the electric field zero. In other words, "at what point is the magnitude of the electric field, of these two charges the same?" They're pointing at opposite directions over here, and at this position we have q2 with an electric field towards it because a positive test charge placed here would get attracted to q2. And E1, electric field due to charge one, will be pointing away in the opposite direction 'cause it would repel a positive test charge placed here. So, this is the only place where you could have an electric field zero. Because if you consider a point between the charges at this point here, the field due to q2 would be to the right because it would be attracting a positive test charge. And the field due to q1 would also be to the right because it would still be repelling there. So that's a -- those electric fields are in the same direction, so they can't cancel to make zero. And also, over here, even though the fields would be in opposite directions, the field due to q2 will always be smaller than the field due to q1 because q2 is further away and it has less charge magnitude than q1. So there's two reasons why they'll never equal to q1, whereas on the right hand side of q2, even though we're further away from q1 than q2, q1 can still match the magnitude of q2's field because q1 has a higher charge. So, the question is "what is this distance x then, from here to here Now, we have -- I'm just using magnitude to the charge here, by the way, so it's just the magnitude of electric field one equals the magnitude of electric field two at this position here, and that is the distance d plus x separation plus x squared, times k q1. And that's gonna equal the field due to charge 2, k q2 over x squared, and we can multiply both sides by x squared and then multiply by d plus x squared as well, and then the k's cancel. And we have q1 times x squared on the left, and then equals d plus x squared times q2 on the right. And then take the square root of both sides, and you have x square root q1 equals d plus x times square root q2, and we can distribute square root q2 into the brackets there and multiplying d by square root q2, and x by square root q2. And then collect the x terms together on the same side. So, minus x square root q2 from the right side and minus it from the left side as well, and then factor out the common factor x. So, we have x times square root q1 minus square root q2 equals d square root q2. Then, divide both sides by this bracket. And x is then the separation between the charges times square root q2 over square root q1 minus square root q2. So, it's .04 meters times square root of two microcoulombs, times 10 to the minus six Coulombs, divided by square root of three times 10 to the minus 6 Coulombs minus square root two times 10 to the minus 6 Coulombs. And this gives .17798 meters, and that's 18 centimeters, and that's away from the negative charge, away from the positive charge. 18 centimeters from the negative charge away from the positive charge. 'Cause if you just say 18 centimeters from q2
Why do you square the (d+x) and the x in the denominators?
