
In order to watch this solution you need to have a subscription.
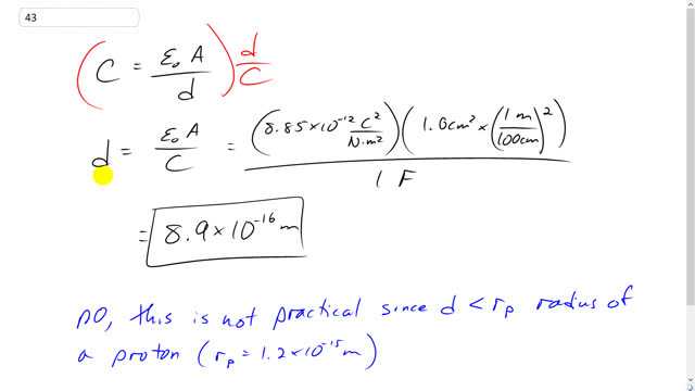
This is Giancoli Answers with Mr. Dychko. Let's rearrange this capacitance formula for a parallel plate capacitor and solve for d . So we'll multiply both sides by d and divide by C and in left we get this C is canceling leaving us with d in the left and on the right side we get to these canceling leaving us with C in the bottom. So we have permittivity of free space times area of each plate divided by capacitance. So that's 8.85 times ten to the minus 12 coulomb squared per Newton meter squared times 1.0 centimeters multiplied by one meter for every 100 centimeters squared and divided by one Farad and this is 8.9 times ten to the minus 16 meters must be the separation between the plates which is impossible because this distance is less than the radius of a proton which is 1.2 femtometers. This is 0.9 femtometers and so definitely not practical. One farad is a huge number in the world of capacitance and that's why you'd normally see microfarads and Pico farads and so on when you see ratings of capacitance.
