
In order to watch this solution you need to have a subscription.
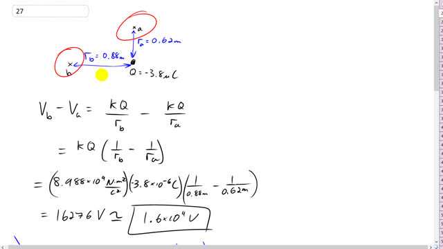
This is Giancoli Answers with Mr. Dychko. To find the potential difference between point B and A, we will find the potential at point B due to this charge and then we’ll minus the potential at point A due to this charge so the potential at point B is k Q over the distance to point B r subscript B minus k Q over the distance the point A, r a. We can factor out the k Q and so that's coulombs constant times the charge which is 3.8 micro coulombs, times ten to the negative six coulombs and this negative and then times by one over 0.88 metres to point B minus one over 0.62 meters to point A and that gives 1.6 times ten to the four volts, is the potential difference so point B has a higher potential than point A and that makes sense because as you get closer to a negative charge your potential becomes less negative and the graph looks like this and so point B is here somewhere and point A is like here and so when you take a… B minus A, you're taking this potential V b minus this potential of V a. Other way around. So it's B here and A there. So, this is potential at A and this potential at B. So, potential at V b might be negative one minus potential at point A and that's maybe negative three and so negative one minus negative three gives a positive answer and I'm just using these numbers as an example to show why we expected a positive answer to this difference here. The difference in the electric fields we have an electric field at Point B is pointing straight to the right. At point B, we have this electric field straight to the right and at point A, we have this electric field straight down and electric field at A is going to have a greater magnitude than that of B since A is so much closer to the charge than B is. And instead of going E b minus E a, I'm gonna go E b plus the negative of E a, it's the same idea but it's just we have a good technique for adding vectors its the head to tail method and so the vector negative E a is E a pointing in the other direction and so that's what I've drawn here. This is the opposite of E a electric field at point A and it's pointing upwards and so we take the head of E b and put it on the tail of negative E a and then we're adding these vectors which is the same as subtracting like that and this resultant will be your answer. So the magnitude of V b is k Q over the distance to the point B squared and the magnitude of electric field A is k Q over the distance to point A squared and so the resultant is gonna be the square root of the sum of the squares. It's Pythagoras because these electric field vectors are right angles conveniently and so that's the square root of k Q over b squared, squared plus k Q over a squared, squared and the k squared Q squared is a common factor that can be factored out and then also taken out of the square root side in which case it becomes just kQ and then we're left with one over b to the power four plus one over a to the power four. So it's coulombs and constant 8.988 times ten to the nine newtons meters squared per coulomb squared times the charge about 3.8 times ten to the minus six coulombs and we’re just concerned with magnitudes here and we'll give direction in a moment and then times square root of one over 0.88 meters to the power four plus one over 0.62 meters to the power four and that gives 9.9 times ten to the four Newtons per coulomb. That's the magnitude of this electric field. The direction is gonna be the inverse tangent of this vector divided by this vector, the opposite over the adjacent. And that's gonna be kQ over r a squared. That's what E a is. We're only concerned with magnitude here because we can see directions from our picture. So, k Q over the distance to A squared times the reciprocal of E b. So I guess I used the letter A here, didn’t I? Up here I used the letter a. So I used the same letter down here and we're gonna multiply by the reciprocal of E b which is the same as dividing by E b and so that times by b squared over k Q and then the k Q cancel and we're left with the inverse tangent of b squared over A squared is gonna be our answer for the direction. So it's inverse tangent of 0.88 meters squared divided by 0.62 meters squared which gives about 64 degrees above the positive x axis, is the direction of this electric field.
Why did you use Pythagoras' theorem when you could have just added the electric fields? Any reason?
For part b), since the electric field is a vector and they're not pointing along the same direction (they're not parallel in other words), it's necessary to use vector addition. Since the angle between them is 90 degrees, using Pythagoras is the most convenient method. This is unlike adding potentials, which are scalars (not vectors), and can be added with regular arithmetic.
Hope this helps,
Mr. Dychko
Thank you, this helps a lot.
Super! Thanks for the feedback!

