
In order to watch this solution you need to have a subscription.
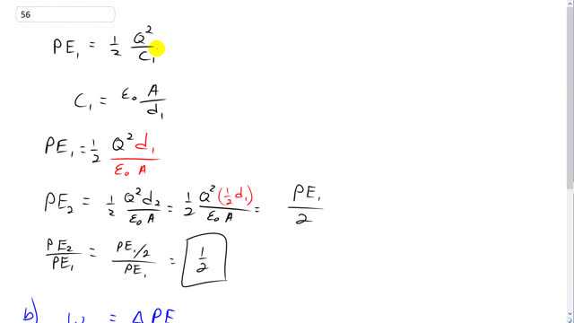
This is Giancoli Answers with Mr. Dychko. The potential energy in the first case is going to be one half times the charge on each plate squared divided by its capacitance and I put a subscript C one here because this is the capacitance in the first case and that's going to be permittivity of free space times the area of the plates divided by the separation one and so substituting for C one in this potential energy one formula, we are going to divide by C one which is the same as multiplying by the reciprocal of C one. So, we're gonna multiply by the reciprocal which is d one over Epsilon naught A. So the potential energy in the first case is one half Q squared times d one over Epsilon naught A. And the second case we have the same charge in each plate because we're told that each plate has a charge of Q and the area of the plates are the same and well Epsilon naught is just a constant. So the only thing that needs a subscript is d. Because this separation between plates is different now and it turns out to be one half, what it was before. So d two is one half of d one. So I substitute for that and all of this here is potential energy one, one half Q squared times d one over Epsilon naught A. And then you have to multiply that by half. So it's PE one over two. So the potential energy in the second case is one half the potential energy in the first case. And the external work done is going to equal the change in potential energy. Now when you have two plates and a capacitor they're oppositely charged. So this one's gonna be plus and this one's gonna be minus and so they naturally are attracting each other. So the external work done to move these plates closer together is gonna have to exert a force this way. This is the external force whereas the displacement is gonna be towards each other. So the external forces is in the opposite direction to the displacement. And so there is a negative amount of work being done. And so this is just a way to check our answer we would expect our answer to be negative. Now we're going to calculate it by taking the final potential energy minus the initial potential energy. So that's one half PE one. That's what PE two is and minus PE one that gives us negative PE one over two. And so that's a negative one half times all of this which makes one quarter Q squared d one over Epsilon naught A negative.
