
In order to watch this solution you need to have a subscription.
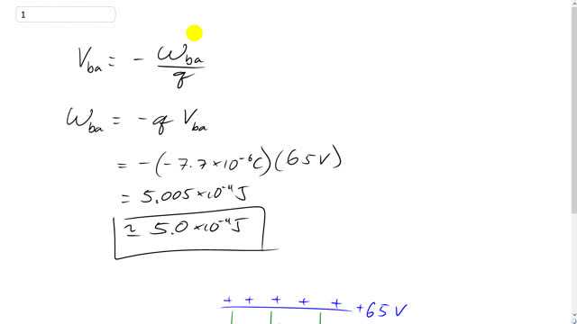
This is Giancoli Answers with Mr. Dychko. The change in potential on going from position a to b is the negative of the work done to go from a to b divided by the charge q. This is the work done by the field. So the work done by the field ending up at point b starting at point a is negative charge times Vba so multiply both sides by q. And so that’s negative of negative 7.7 times ten to the minus six coulombs times 65 volts which is 5.0 times ten to the minus four joules and that's a positive amount of work done by the field. And here's a picture to show the situation where you have two parallel plates will say that this one is zero volts and then this one is 65 volts higher. The higher potential is always at the positive plate and this field lines which are pointing downwards away from the positive plate towards the negative plate are exerting a force upwards on this negative charge because a force on a negative charge is directed in the opposite direction to the field line directions. Electric field always points in the direction of force on a positive charge. So this being a negative charge means the force is going upwards and the charge is also moving upwards so its displacement is upwards it's going towards the higher potential plate and so since force and displacement are in the same direction we expect work to be positive because work is force times displacement and that's going to be greater than zero when the force direction and the displacement direction are in the same direction as they are here and so we expect that our answer for the work done by the field to be positive here.
brahhhhhhh!!!!!! no way!!!!!! RIP ZYZZ!
brahhhhhhh!!!!!! no way!!!!!! RIP ZYZZ!
