
In order to watch this solution you need to have a subscription.
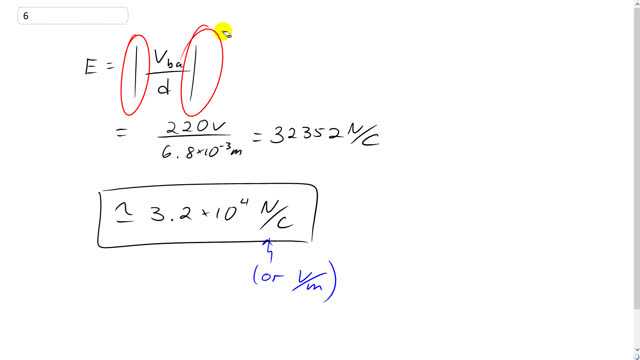
This is Giancoli Answers with Mr. Dychko. The strength of the electric field between two parallel plates is the potential difference between the plates divided by the separation. And I put vertical absolute value signs here because we don't care about the sign, we only care about the strength of the field, its magnitude. That's 220 volts divided by 6.8 times 10 the minus three meters separating them. That's 6.8 millimeters written with times 10 to the minus three in place of the prefix milli. We get 32,352 Newtons per Coulomb or 3.2 times 10 to the four Newtons per Coulomb. And you can write Newtons per Coulomb as volts per meter if you like too, that would also work for the units.
