
In order to watch this solution you need to have a subscription.
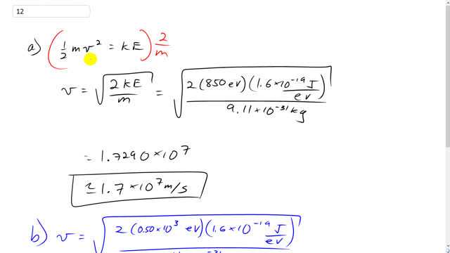
This is Giancoli Answers with Mr. Dychko. Kinetic energy is one-half mass times velocity squared. So if you multiply both sides by two and divide both sides by m, you get two times kinetic energy over m is v squared. Then when you take the square root of both sides, you get v is the square root of two times kinetic energy divided by mass. So we have square root of two times 850 electron volts, which we convert into Joules by multiplying by 1.6 times 10 to the minus 19 Joules per electron volt, then divided by the rest mass of an electron, 9.11 times 10 to the negative 31 kilograms, this gives about 1.7 times 10 to the seven meters per second. If the electron had 0.5 kilo electron volts-- Careful with the tricky units that put kilo electron volts. That's 0.5 times 10 to the three electron volts multiplied by the same conversion from electron volts into Joules divided by the same mass of electron. Then you get 1.3 times 10 to the seven meters per second.
