
In order to watch this solution you need to have a subscription.
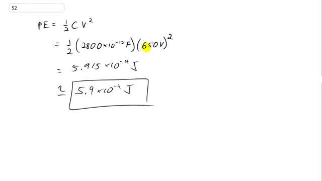
This is Giancoli Answers with Mr. Dychko. The energy stored in a capacitor is one half times its capacitance times the voltage across it, squared. So that's one half times 2800 times ten to the minus twelve farads times 650 volts squared which gives 5.9 times ten to the minus four Joules.
