
In order to watch this solution you need to have a subscription.
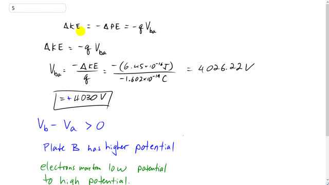
This is Giancoli Answers with Mr. Dychko. The change in kinetic energy of this electron is the negative of the change and its potential energy. So whatever gains and losses in potential it does the opposite for its kinetic. So if it loses some potential energy it gains kinetic energy and its potential energy change is, oops, there's a negative sign there, you can say, change in potential energy is the charge times the potential difference etween its initial position at a and its final position at b. So we'll say that this equals this. So change in kinetic energy is negative q Vba and then solve for potential difference between a and b by dividing both sides by negative q and we get potential difference between a and b is negative of the change in kinetic energy divided by the charge plus negative of 6.45 times ten to the negative 16 joules so we gain some kinetic energy so we have a positive number there and we also have this negative sign from our formula outside. We divide that by the charge of negative 1.602 times ten to the minus 19 coulombs and we get positive 4030 volts and plate b has a higher potential because Vba is the potential of the final position b minus the initial position a and so it reaches a final position at a higher potential than it started out because we have a positive answer here and we know that electrons move from a position of low potential to a high potential because these words low and high potential are actually with respect to a positive charge. So things spontaneously move so that they lose potential energy and electrons are no exception to that and so electrons move from a position where it has high potential energy to a place where it has low potential energy. But that's confusing in this subject because the word low potential and high potential are all defined with respect to a positive charge and so electrons have it's their highest potential at locations. Let's draw a picture here. So here's an electron and it has its highest potential energy here. But this plate is called the low potential plate because a positive charge would have its lowest potential energy here and this thing is labeled lower high based on whether a positive charge would have its highest potential energy there or not and so the place where electrons have their highest potential energy is labeled low potential because this label comes from where the positive charge would have highest potential energy. I hope that kind of makes sense. Electric field lines go from positive to negative here. And you can see that. Well I don't want to make too much of an explanation because if I say too much it might be more confusing than helpful but anyway you could also memorize that electrons move from a position of low potential to position of high potential. And keep in mind this label is made based on where a positive charge would have its higher low potential energy.
why is q= negative 1.6X10^-19 ?
Negative sign is due to electron charge that electrons always carry. Thus, electron charge = -1.6*10^-19
