
In order to watch this solution you need to have a subscription.
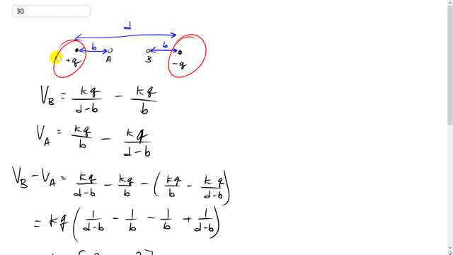
This is Giancoli Answers with Mr. Dychko. Our job is to find the potential difference between the position B and position A and there's a charge negative q in the right hand side and the charge of positive q in the left hand side. The charges are separated by distance d and each position A and B are a distance b away from their closest charge. So, the total potential at position B is a potential due to the positive charge and plus the potential due to the negative charge and we'll find that first and then we'll go and then we'll find a potential at position A and then we'll take a difference and that will be our answer. So, potential at position B is going to be k q divided by the distance from the positive charge and that distance will be the total distance d minus the amount b that it's a little bit closer. So this distance here is d minus b and that's what I've written here. And then add to that the potential due to the negative charge but since the charge is negative we're going to have a minus there and so it's gonna be negative k q over the distance b from that charge. And then we find the potential at position A. And so that's k q over b. So that's the potential due to the positive charge and minus the k q over d minus b distance from the negative charge. And that's a potential at position A and then subtract those two things, we’ll have k q over d minus b minus k q over b minus bracket, k q over b minus k Q over d minus b and then distribute this negative into the brackets here and that makes a minus one over b and then a positive one over d minus b and factor out the k q common factor from every term. So we have k q times one over d minus b, minus one over b minus one over b plus one over d minus b and these two terms are the same and both positive. So, that makes two over d minus b and then these two terms are the same and negative so that makes them minus two over b and you can make a common denominator here if you multiply this top and bottom by b over b and multiply top and bottom here by d minus b. You get two b minus two times d minus b, all over b times d minus b and then we're making everything with a single fraction and simplified here. And so we multiply through by the negative two there. So it's negative two d and then the minus and the minus makes a positive two b. That makes four b minus two d. So that's a common factor of two that can be taken out so it's two k q times two b minus d, all over d times, b times d minus b. Hope I didn't mix up the ds and the bs too much there. So voila. There is a formula for a potential difference between point A and B.

