
In order to watch this solution you need to have a subscription.
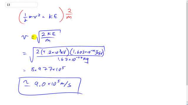
This is Giancoli Answers with Mr. Dychko. Kinetic energy is one-half mass times velocity squared. And if you multiply both sides by two and divide both sides by m, and then take the square root of both sides, you get that the speed is square root of two times kinetic energy divided by mass. So that's two times 4.2 times 10 to the three electron volts, convert it into Joules by multiplying by 1.602 times 10 to the minus 19 Joules per electron volt. Then divided by the mass of a proton, 1.67 times 10 to the negative 27 kilograms. Then you get both 9.0 times 10 to the five meters per second when you round the two significant figures.
