
In order to watch this solution you need to have a subscription.
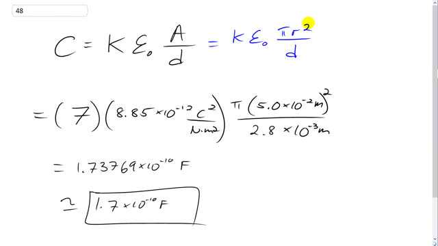
This is Giancoli Answers with Mr. Dychko. The capacitance between two parallel plates is the dielectric constant times the permittivity of free space times the area of the plates divided by their separation. And in this case, its the circular plates, their area will be pi times the radius squared. So the dielectric constant for Mica is seven and multiply that by 8.85 times ten to the minus 12 coulomb square per newton meter squared times pi times 5.0 times ten to the minus two meters and then square that converting the centimeters into meters there, and then divide by 2.8 times ten to the minus three meters separation and you get 1.7 times ten to the minus ten farads for the capacitance.
