
In order to watch this solution you need to have a subscription.
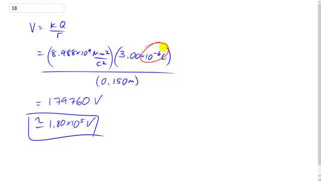
This is Giancoli Answers with Mr. Dychko. The electric potential, 15 centimeters which is 0.15 meters away from a three micro Coulomb charge, micro is times ten to the minus six, is given by this formula, k Q over r and k is 8.988 times ten to the nine newtons meter squared per coulomb squared. That's coulombs constant and this works out to 1.80 times ten to the five volts. That's the potential difference between zero and infinity and 15 centimeters away from this three micro coulomb charge.
