
In order to watch this solution you need to have a subscription.
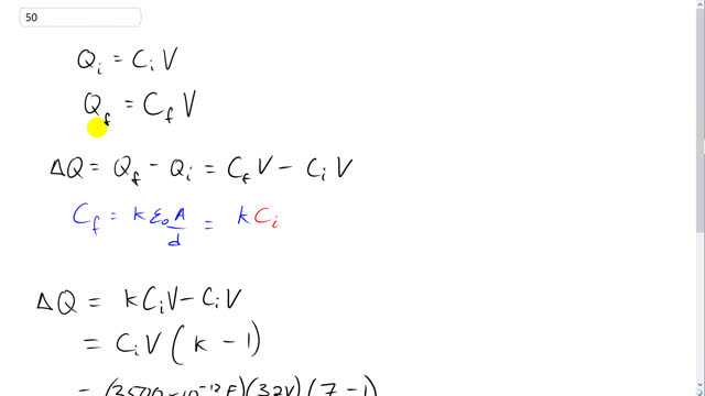
This is Giancoli Answers with Mr. Dychko. The initial amount of charge need on plate of the capacitor is the initial capacitance times the battery’s voltage and the final amount of charge is going to be the final capacitance times the same voltage and the difference in the charge between the final and the initial is the amount of charge that's going to flow from the battery after the Mica is inserted into the air gap and so that's going to be C f times V minus C i times V. Now the final capacitance is the dielectric constant times permittivity of free space time area divided by the separation between the plates. But this whole thing here is the initial capacitance so C f is dielectric constant multiplied by C i. So, we can replace k C i in place of C f here. Maybe I should have written that in red. k C i and then factor out the C i V. So, you have C i V times k minus one. So that's the initial capacitance of 3500 times ten to the minus 12 farads times the battery voltage of 32 volts times the new... the dielectric constant of Mica which is seven minus one and you get 6.7 times ten to the minus seven coulomb of charge will flow from the battery after the Mica is inserted.
