
In order to watch this solution you need to have a subscription.
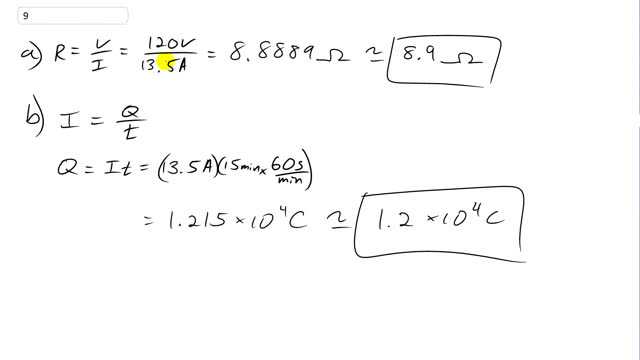
This is Giancoli Answers with Mr. Dychko. Resistance is voltage divided by current. So this hair dryer, when it's plugged into 120 volts and it draws 13.5 amps, take the quotient of those and you get 8.9 ohms, it must be the resistance. Knowing the current is the amount of charge that passes at a hair dryer per time, we can multiply both sides by t, and get that the amount of charge equals the current multiplied by time. It's 13.5 amps and multiplied by the time in seconds. So 15 minutes times 60 seconds per minute, and this gives us 1. 2 times 10 the 4 Coulombs of charge.
