
In order to watch this solution you need to have a subscription.
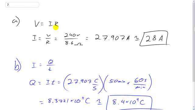
This is Giancoli Answers with Mr. Dychko. The amount of current passing through the element of the closed dryer is given by this formula I equals V over R. Where we rearrange V equals IR by dividing both sides by R, then switching the sides around, we have I as V over R. So that's 240 volts divided by 8.6 ohms, which is about 28 amps. The amount of charge that passes in 50 minutes or we can rearrange this form. We know the current is the amount of charge that passes divided by time. And multiply both sides by t, then you get Q as current times time. That's 27.907 Coulombs per second that we figured out over here, writing Coulombs per second instead of amps. You can see that the seconds cancel here leaving us with Coulombs. Or we multiply them by 15 minutes converted into seconds by multiplying by 60 seconds per minute. We have 8.4 times 10 to the four Coulombs of charge to pass through the dryer element.
