
In order to watch this solution you need to have a subscription.
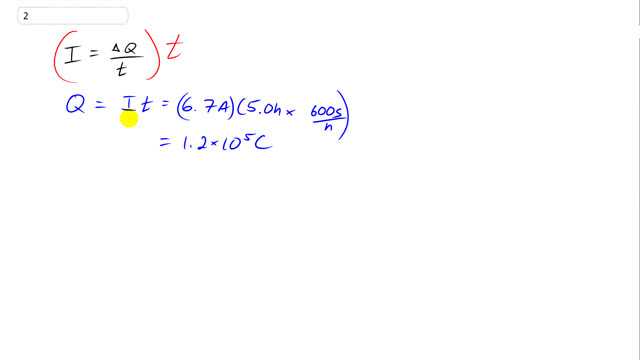
This is Giancoli Answers with Mr. Dychko. Current is the amount of charge that passes a point divided by the time it takes for the charge to pass. And we can solve this for the total charge by multiplying both sides by t. So Q is It. The current is 6.7 amps, times five hours. And we have to convert this into seconds by multiplying by 3,600 seconds per hour. The hours cancel. And we have 1.2 times 10 to the five Coulombs is the amount of charge that passes through the battery while it's being charged.
