In order to watch this solution you need to have a subscription.
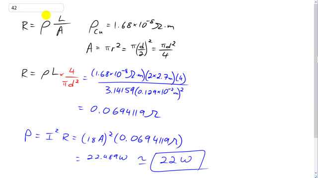
This is Giancoli Answers with Mr. Dychko. The power dissipated by this in number 16 copper wire is gonna be the current going through it squared, times the resistance of the wire. To calculate the resistance, it will take the resistivity of copper multiplied by the length divided by the cross-sectional area of the wire. The resistivity of copper is 1.68 times 10 to the minus eight ohm-meters. The area of the wire is gonna be pi times the radius squared or pi times half the diameter squared. Which we can write as pi d squared over four. We'll substitute this in for area. We're dividing by area so we'll multiply by the reciprocal of the area instead. So we multiply the rho L by four over pi d squared. We have resistivity of copper times two times 2.7 meters because there's two legs through an extension cord. The extension cord is 2.7 meters long. There's always gonna be one wire going to the plug. Here is the entry of the plug whatever they drill in or whatever it is. Then there's gonna be one wire going back. That's the total length of two times 2.7 meters of copper wire here. Multiply it by four, and divide by pi and multipy by 0.129 centimeters which I read as 10 to the minus 2 meters, and square that. You get 0.0694119 ohms resistance in the wire. So multiply that resistance by 18 amps squared and you get 22 watts of power dissipated within the extension cord wire.
To solve this problem, why didn't we use P=V^2/R to find the power dissipated by the wire?
Hi drcselbes, thank you for the great question. Of course, there's nothing wrong with the formula , but it's important to know how to use it. Let's suppose hypothetically that we want to use it: the voltage needs to be the voltage across the resistance. The resistance is the resistance of the wire, so we need to know voltage between the ends of the wire. What I mean by this is that we need to know the voltage between where the plug attaches to the wall, and where the other end attaches to the heater, times two since there is another segment of wire returning from the heater back to the wall. That total resistance (calculated in the video) is 0.0694119 ohms. The total voltage across both segments of wire is . Now we can calculate the power lost in the wire using the formula you suggested: , which is the same result. The big issue here is knowing which voltage to use. 120 V is not the voltage across the segments of wire, but rather it's the voltage across the segments of wire plus the heater.
Hope this helps,
Mr. Dychko
