
In order to watch this solution you need to have a subscription.
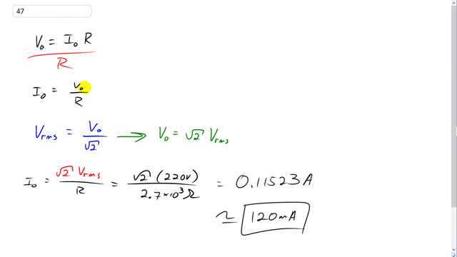
This is Giancoli Answers with Mr. Dychko. We know that peak voltage is peak current times resistance. And we can divide both sides by R to solve for I naught. So, the peak current is the peak voltage divided by R. But we don't know what the peak voltage is, so we can use this formula to figure it out though. We know that root mean square voltage is peak voltage divided by root two, and we can multiply both sides by root two, and get that the peak voltage is root two times V rms. And so, this we can substitute in for V naught in our current formula, as we've done here. So we have root two times the rms voltage, divided by resistance, will give us root two, times 220 volts, divided by 2.7 times 10 to the three ohms, which is about a 120 milliamps. That's gonna be the peak current.
