
In order to watch this solution you need to have a subscription.
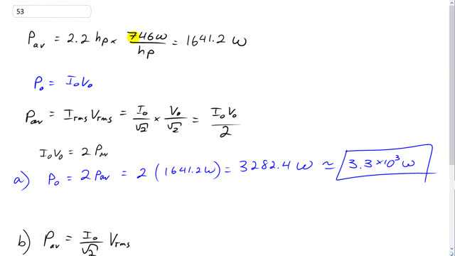
This is Giancoli Answers with Mr. Dychko. The peak power is going to be peak current times peak voltage and we are given the average power, its 2.2 horsepower we’ll convert that into Watts by multiplying by 746 watts per horsepower which gives 1641.2 watts. And this average power can also be calculated by going, R.M.S current times R.M.S voltage but we'll substitute for the R.M.S current by saying its peak current divided by root two and the R.M.S voltage is peak voltage divided by root two which becomes root two times root two in the bottom becomes two and then on the top we have peak current times peak voltage but this is peak power, this numerator, so we have I naught V naught is two times P average and so we multiply this by two and then multiply the other side of the equation by two. So we have I naught V naught equals two times P average and this is P naught and so our peak power is two times the average power so two times 1641.2 watts which is about 3.3 times ten to the three watts. And then to find the peak current, we’ll substitute peak current divided by Root 2 in place of R.M.S current, in our average power formula and then solve for peak current and multiply both sides by root two over V rms. And so we get peak current is root two times average power divided by R.M.S voltage. So that's root two times 1641.2 watts divided by 240 volts which is about 9.7 amps.
