
In order to watch this solution you need to have a subscription.
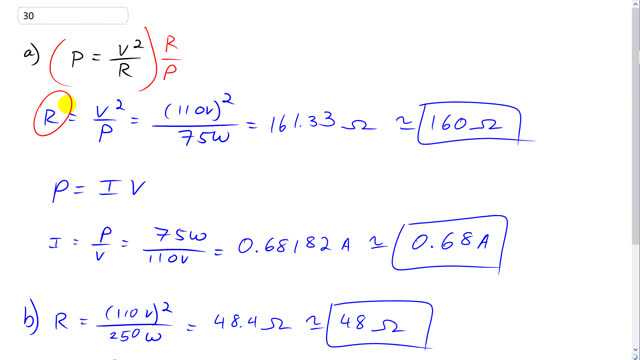
This is Giancoli Answers with Mr. Dychko. To find the resistance of this light bulb let's rearrange this formula to solve for R. Multiply both sides by R over P and on the left side the Ps cancel leaving us with R there and on the right side the Rs cancel leaving us with P on the bottom so the resistance is voltage squared divided by power output. It's a 110 volts divided by 75 watts which is 160 ohms and to find the current we’ll divide both sides of this by V and then switch the sides around and we get current is power divided by voltage, thats 75 watts divided by 110 volts which is 0.68 amps and with a 250 watts bulb, the formulas are the same, and will plug in 250 watts nstead of 75 watts and we get resistance is 110 squared over 250 which is 48 ohms and so we have a smaller resistance when you have a larger power output and then the current is gonna be 250 watts now divided by 110 volts and that's going to be 2.3 amps of current.
