
In order to watch this solution you need to have a subscription.
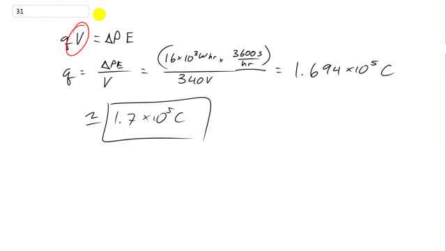
This is Giancoli Answers with Mr. Dychko. Charge, times the potential difference, is gonna be the change in potential energy. So this potential difference, voltage, is Joules per Coulomb. So it's the amount of energy -- potential energy -- difference between two points per Coulomb. And so when you multiply it by Coulombs, you get the actual energy difference in Joules. And so we'll divide both sides by V, and we get the amount of charge that has to pass in order to create this amount of energy loss. It's gonna be the energy loss divided by the voltage. So that's 16 kilowatt-hours. And so we have to convert that into Joules. And that's gonna be 16 times 10 to the 3 watt-hours. So I changed the 'kilo' into times 10 to the three, so now it's just watts. And then we'll convert the hours into seconds. So that's 3600 seconds per hour, and the hours cancel. And watts are actually Joules per second. So you can see that the top is actually turning into Joules, 'cause the seconds here cancel as well. And so we have 16 times 10 to the three Joules, divided by 340 volts, and that works out to 1.7 times 10 to the five Coulombs of charge needed.
