
In order to watch this solution you need to have a subscription.
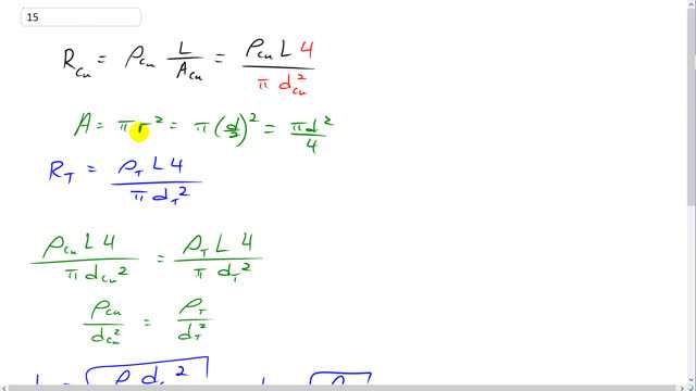
This is Giancoli Answers with Mr. Dychko. The resistance of the copper wire is gonna be resistivity of copper times its length divided by the cross- sectional area of the copper wire. The cross-sectional area will be pi times its radius squared, which is pi times half the diameter squared, or pi d squared over four. Then we'll substitute that in for area by multiplying by its reciprocal. Since we're dividing by area, we can multiply by the reciprocal of it which is four over pi d squared. The resistance of the tungsten wire of the same length, so there's no subscript on the L here because it's the same L for both cases for the copper and for the tungsten. We have the resistivity of tungsten times its length times, it's four over pi times the diameter of the tungsten wire squared. So we want to find out what diameter would the tungsten wire need to have in order that the resistance of the copper wire equals the resistance of the tungsten wire. So let's set them equal to each other. Their lengths will cancel, and the fours cancel, and the pis cancel on both sides. And we have resistivity of copper divided by copper's diameter squared equals resistivity of tungsten divided by the diameter of tungsten squared. Then take the reciprocal of both sides. Multiply both sides by-- Well, I guess I can show this rather than just say it. Take the reciprocal of both sides and you get the diameter of the copper squared over resistivity of copper equals diameter of tungsten squared over the resistivity of tungsten, and then multiply both sides by the resistivity of tungsten, and then take the square root of both sides after you do that. And so you get the square root of resistivity of tungsten times copper's diameter squared divided by resistivity of the copper. Then this can come out of the square root sign so that you have the diameter of the copper wire times the square root of the ratio of the resistivity of tungsten to copper. We have 2.2 millimeter diameter for the copper wire times by the square root of resistivity of tungsten 5.6 times 10 to the minus 8 ohm-meters divided by resistivity of copper 1.68 times 10 to the minus ohm-meters. And you get 4.0 millimeters, should be the diameter of a tungsten wire such that it would have the same resistance given the same length.
Thank you!
You're welcome! I'm really glad this video was helpful.
