
In order to watch this solution you need to have a subscription.
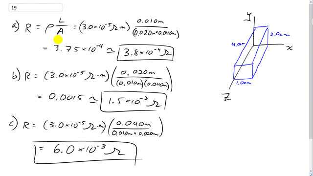
This is Giancoli Answers with Mr. Dychko. Resistance is the resistivity of the material times the length of the current has to travel through divided by the cross-sectional area that it's traveling through. Typically, the area up until this point has been calculated by going pi times radius squared because we've been dealing with cylindrical wires. But in this case, we're dealing with a rectangular box, and so the area is going to be the area of the face, and then the length will be the third dimension. So let's use the x-axis for example. So we have current passing from the left going straight through to the right, and it's gonna be going through this phase here which has dimensions four centimeters along the z-axis by two centimeters along the y-axis. So the area is four centimeters by two centimeters. I have converted it into meters, so 0.04 meters times 0.02 meters. The length will be the length that it travels along the x-axis which is one centimeter. We multiply that by the resistivity of whatever this material is, 3.0 times 10 to the minus five ohm-meters. And we get 3.8 times 10 to the minus four ohms as the total resistance for current traveling along the x-axis. When traveling along the y-axis, we're gonna be going, let's say, down like this, and passing through this phase. So the area is gonna be one centimeter by four centimeters, and then the length will be this distance here, two centimeters. That's what we have at top there. Multiply it by the resistivity, and we get 1.5 times 10 to the minus three ohms. So we have less resistance there than we did before. And that makes sense because it's such a big area that the current is passing through. Like I said, it was pretty big before that too, isn't it? Well, actually, this resistance is a lot bigger. Hmm, look at that. So, yes, it's a lot bigger. Let's think of it why. It's passing through two times the length that it was before, whereas before, it only passed through 0.01 meters, now it's going through to 0.02 meters so that it makes sense to have a larger resistance because it's traveling through more material. And it's actually traveling through a less area now than it was before. So it's passing through a smaller area, 0.01 times 0.04, whereas before, it had passed through an area of 0.02 times 0.04. Okay. Two reasons why this is much bigger by an order of magnitude actually, 10 to the minus three compared to 10 minus four. There we go. Then, along the z-axis, we expect the largest resistance this way because it's passing through a small area, just this end here, the rectangular box, and it's traveling a large length, four centimeters, 0.04 meters. The area is 0.01 meters by the height of 0.02 meters and we multiply that by the resistivity and you get 6.0 times 10 to the minus three ohms.

