
In order to watch this solution you need to have a subscription.
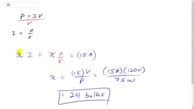
This is Giancoli Answers with Mr. Dychko. The power output for a single light bulb is gonna be the current through it times voltage, or you can divide both sides by V to get the current. We want to know how many bulbs times by the current per bulb will equal 15 amps. 15 amps is the limit of the circuit breaker of a typical household circuit in North America. We have x times P over V. This is the current per bulb, and then multiply both sides of this by V over P, and it cancels in the left leaving us with x. On the right-hand side, we have 15 amps times voltage divided by power. So that's 15 amps times 120 volts divided by 75 watts. And we get 24 bulbs would max out the circuit and draw 15 amps.

