
In order to watch this solution you need to have a subscription.
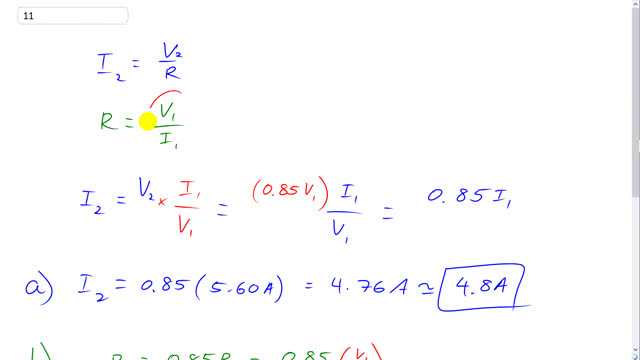
This is Giancoli Answers with Mr. Dychko. The current after the voltage drops will be the new voltage divided by the same resistance that the electric device had before. That resistance equals the original voltage divided by the original current, both of which are given. Then we can substitute R into this formula here. So we have I two equals V two divided by R, which is the same as multiplying by the reciprocal of R, that's why you have I one over V one here. And V2, we're told is 15 percent less than V one which makes it 85% of V one. So I substituted for V two there, and the V ones cancel giving us 0.85 times I one, that's where I two is gonna be. So that's 0.85 times 5.6 amps, which is 4.8 amps. Then if we say that we have the original voltage of 240 volts, but now we reduced the resistance instead. So we have R two is 0.85 times R one. R one, We've already shown as V one over I one. That makes the current equal to the original voltage V one divided by this new resistance. That's gonna be the same as multiplying by the reciprocal of R two, so that's I one over 0.85 times V one. These cancel and the new current will be the original current divided by 0.5 which is 6.6 amps.
