
In order to watch this solution you need to have a subscription.
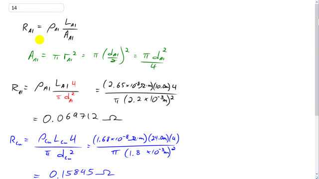
This is Giancoli Answers with Mr. Dychko. We're gonna calculate the resistance of the aluminum wire and then calculate the resistance of a copper wire, and then divide the results. Then we'll get 0.44 as the ratio of their resistances. So resistance of a wire is the resistivity of the material times the length of the wire divided by its cross-sectional area. I have an Al for aluminum subscript for all these things here. The area of the aluminum wire is gonna be pi times its radius squared, which will be pi times half its diameter squared or pi times the aluminum diameter squared over four. Then we divide by the area, it's the same as multiplying by the reciprocal of the area, so I multiply it by four over pi d squared. So the resistance of the aluminum wire is gonna be 2.65 times 10 to the minus 8 ohm-meters resistivity of aluminum, multiplied by 10.0 meters times four, divided by pi times 2.2 times 10 to the minus three meters, diameter squared, which gives 0.069712 ohms. It's the same formula for resistance for the copper wire, and we're just substituting on all the numbers for copper. So we have 1.68 times 10 to the minus 8 ohm-meters resistivity times 24-meter length times four, divided by pi times 1.8 times 10 the minus three meters diameter and square that. You get 0.15845 ohms. So take resistance of aluminum divided by resistance of copper, and you get about 0.44 as the ration of their resistances.
