
In order to watch this solution you need to have a subscription.
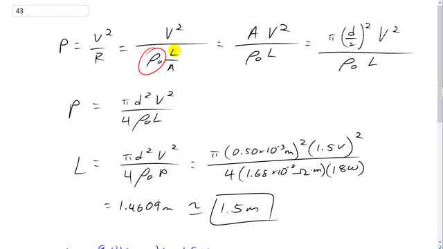
This is Giancoli Answers with Mr. Dychko. The power output of this heating coil and the blanket is gonna be V squared divided by the resistance of the heating coil. That's V squared divided by resistivity of copper times the length of the copper wire divided by its cross-sectional area. We can multiply top and bottom by area, and it cancels on the bottom leaving us with A times V squared on top divided by rho naught L on the bottom. The area is pi times the radius squared which is half the diameter squared times V squared over rho naughtL. We can multiply top and bottom by four. One over two squared makes one over four on top which cancels this four and then we end up four in the bottom. The power output is pi d squaredV squared over four rho naughtL. Then we'll multiply both sides by L over P. On the left side, we have the Ps cancelling leaving us with the length. Then on the right side, the length cancels in here, with P on the bottom. We have pi times the diameter 0.5 times 10 to the minus three meters squared, times 1.5 volts squared, divided by four times 1.68 times 10 to the minus 8 ohm-meters resistivity of copper times 18 watts power output, which gives 1.5 meters is the required length to get the 18 watts out of this size of wire. Then if you mistakenly hooked this same wire up to a nine-volt power source instead of 1.5 volts. You'd end up increasing the voltage by a factor of six because that's what nine divided by 1.5 is. That means V two is six times V one. When you're looking at the power output two, it's the exact same formula, pi d squaredV squared over four rho naughtL because it's the same wire, so the same diameter, same length, and them same material but the same resistivity, but the voltage is different, it's now six times V one which is 36 times V one squared here. This whole thing is P one, the original power output. This power output in the second case is 36 times the initial power output. The power output increases by a factor of 36, which is a big change. The blanket will get a lot hotter.
