
In order to watch this solution you need to have a subscription.
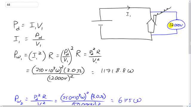
This is Giancoli Answers with Mr. Dychko. We've drawn a circuit here with the power utility which is generating the electricity. Here's the factory over here. The voltage across the factory is 12,000 volts. There's a power output in the factory of 750 kilowatts. This is the power delivered, P subscript d for delivered. That's gonna equal the current through the factory times the voltage across it. The current I'm calling I one and V one is 12,000 volts. We can solve for this current through the factory by going The current I'm calling I one and V one is 12,000 volts. We can solve for this current through the factory by going power delivered divided by V one. I’m dividing both sides of this by V one. The reason that's useful is because the current through the factory is the same as the current through the power lines. We'll find the power wasted in the lines by going current squared times resistance of the lines. We've just figured out the current up here where we say it's the power delivered divided by the voltage. Then putting subscripts one here to say this is the power wasted in the first case with electricity delivered at 12,000 volts. The power wasted in the first case is power delivered squared times resistance of the wires divided by the voltage in case one squared. . That's 750 times 10 to the 3 watts squared, times 3 ohms resistance in the wire, divided by 12,000 volts squared which is 11,718.8 watts of power wasted in the power lines. The second case, you have the same power delivered, 750 kilowatts because that's what the factor it needs. All the machines in the factory require this amount of power so that's going to draw the same amount. Power lines are the same so there's still a resistance of 3 ohms, but now we're delivering at 50,000 volts. So 750 times 10 to the 3 squared, times 3 over 50,000 squared is 675 watts of power wasted in the second case. There's a big savings by having the voltage be greater. I'm gonna explain why you can't use this formula in a second. The difference in these two cases is gonna be 11,718.8 watts minus 675 which is about 11 kilowatts of savings by delivering the power of 50,000 watts instead of 12,000. You can't use this formula to answer this question. The reason for that is because this formula is perfectly valid. It says power is voltage across some resistors squared divided by the resistance. The voltage we're given 12,000 volts is the voltage across the factory. Whereas, if you tried to multiply that by the resistance in the wires, the reason that it doesn't work is because 12,000 volts is not the voltage across the wire or across the resistor of the wire itself. Since we're not given this information, we need to use the current instead. You could calculate what that voltage is if you like, voltage of the wire would be the current through it which we've calculated times the resistance of the wire. Well, we didn't actually get a number for it but it's power delivered divided by the voltage across the factory times R and so on. The point being that the voltage is across the factory and the 3 ohms resistance is the resistor of the wire itself, those are two different contexts. You can't take the voltage across your one thing and then square and divide by the resistance or something somewhere else. In this formula, V squared over R, the voltage and the resistance have to be about the same thing. If you're talking about the resistance of the wire, you need a voltage across the wire. The voltage given to this problem is not the voltage across the wire is the voltage across the factory. That's why this doesn't work.
