
In order to watch this solution you need to have a subscription.
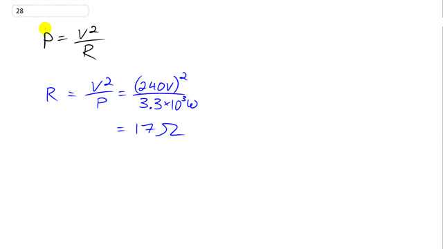
This is Giancoli Answers with Mr. Dychko. To find the resistance of the heating element on this electric stove. Let's rearrange this formula. This is the power consumption, is voltage squared across the element divided by its resistance. We’ll multiply both sides by R over P and on the left side the Ps cancelled leaving us with R and on the right side the R cancel leaving us with P on the bottom. So we have resistance is voltage squared divided by power, so that's 240 volts squared divided by 3.3 kilowatts or 3.3 times ten to the three watts which is 17 ohms.
