
In order to watch this solution you need to have a subscription.
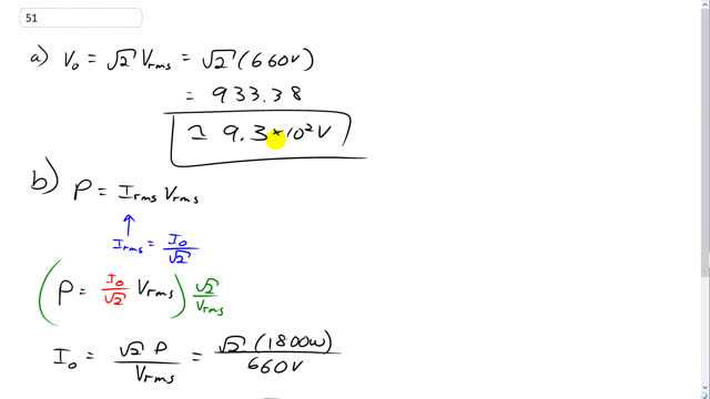
This is Giancoli Answers with Mr. Dychko. The peak voltage for this arc welder will be root two times the root mean square voltage thus root two times 660 volts which is 930 volts or 9.3 times ten to the two volts. To find the peak current, let's take the average power which is 1800 Watts and that's going to be the R.M.S current times the R.M.S voltage but the R.M.S current can be substituted with this by saying its peak current divided by root two. So, we plug that in and then multiply both sides by this root two over… V rms and then on the right side, the root two and the V rms cancels and then on the left side, we’re left with P times root two over V rms and then switch the sides around and we get peak current is root two times the average power divided by the R.M.S voltage. S, thats root two times 1800 Watts divided by 660 volts which is 3.9 amps.
