
In order to watch this solution you need to have a subscription.
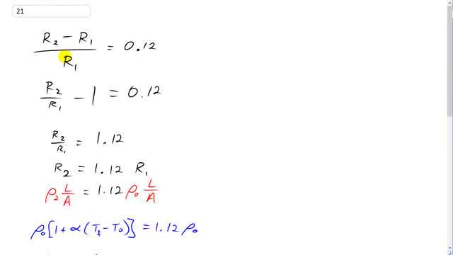
This is Giancoli answers with Mr. Dychko. Reason the resistance by 12 percent means that the new resistance R two minus the old resistance R one divided by R one, is going to equal 0.12 and we can divide both terms in the top by the R one and that gives us R two over R one minus one equals 0.12 and then add one to both sides and you get R two over R one is 1.12 and then multiply both side by R one and we get that R two is 1.12 times R one so that's 12 percent more than R one and the resistance two is going to be the resistivity two times the length of the wire divided by its cross-sectional area and that's going to equal 1.12 times the original resistivity times the same length divided by the same cross-sectional area because it's the same wire. It hasn't expanded as a result of this temperature in any significant way. So resistivity two is the original resistivity times one plus the temperature coefficient for resistivity times the final temperature minus the initial temperature and then equals 1.12 times original resistivity, the L over A cancel on both sides by the way and divide both sides by Rho naught and you get one plus alpha times T f minus T o equals 1.12 and then add… subtract one from both sides and you get 0.12 in the right and you get alpha times T f minus T naught and then divide both sides by Alpha, temperature coefficient of resistivity and it cancels in the left and the right side to get 0.12 divided by Alpha and that's a 0.12 divided by 0.0068 and so the temperature difference then is going to be about 18 Celsius degrees and add that to the original temperature of 20 and the final temperature must have been 38 degrees Celsius and this point, the resistance will be 12 percent greater than what it was at 20.
