
In order to watch this solution you need to have a subscription.
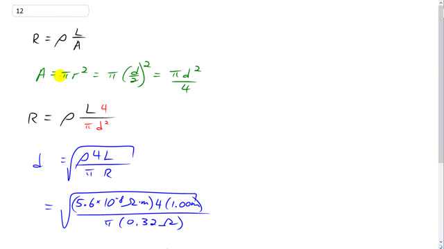
This is Giancoli Answers with Mr. Dychko. Resistance of a wire equals the resistivity of the material it's made out of times its length divided by its cross-sectional area. For a wire that's cylindrical, its cross-sectional area would be area of the cross-section. That'll be a circle. So pi r squared is the area. That's pi times the diameter over two squared or pi times diameter squared over four. Then we can substitute that in for area here. And dividing by the area is the same as multiplying by its reciprocal. So we multiply it by four over pi d squared. And so, we can solve for d by multiplying both sides by d squared over r, and then take the square root of both sides. Then we have d as the square root of resistivity times four times the length, divided by pi times the resistance. So the square root of 5.6 times 10 to the minus 8 ohm-meters, resistivity for Tungsten, times four times one-meter length, divided by pi times 0.32 ohms resistance. That gives 4.7 times 10 to the minus 4 meters, which is about half a millimeter.
