
In order to watch this solution you need to have a subscription.
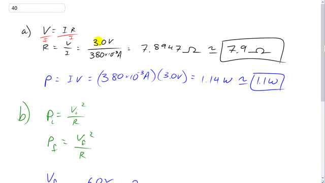
This is Giancoli Answers with Mr. Dychko. Voltage is current times the distance and we can divide both sides of this by current, and we get that the resistance in the lightbulb of the flashlight is its voltage divided by the current that it draws. So three point o volts divided by 380 times 10 to the minus 3 amps, which is 7.9 ohms. The power output of the light i s gonna be the current multiplied by the voltage, so that's 380 times 10 to the minus 3, times 3 volts, which is 1.1 watts. And, if you were to change the voltage, and have four D-cell batteries instead of two, you know, we have the initial power is gonna be the initial voltage with only two D-cell batteries squared, divided by R, and then the final power output is gonna be V final squared over R. And V final divided by V initial is six volts divided by three volts, which is two. So it's just a way of saying that the final voltage is gonna be two times the initial voltage, which makes sense because there's twice as many batteries: four now instead of only two. And so, P final divided by P initial are gonna be find by what factor does the power output change. So it's gonna be V f squared divided by R, that's P final, multiplied by the reciprocal of P initial, which means flip over that fraction. Since we're dividing by P initial, we can multiply by it's reciprocal. So that's multiply by R over V initial squared, and the R's cancel leaving us with V f squared over V i squared. But V f is two times V i. So we have two times V i squared over V i squared, so V i squared's cancel, leaving us with four on top. So, you'll have a power output increasing by a factor of four when you have double the voltage.

